자외선 지수
"오늘의AI위키"의 AI를 통해 더욱 풍부하고 폭넓은 지식 경험을 누리세요.
1. 개요
자외선 지수는 지구 표면에서 일광 화상을 유발하는 자외선 복사 강도를 나타내는 지표이다. 자외선 지수는 자외선 전력 스펙트럼과 피부 민감도를 고려하여 계산되며, 0부터 11+까지의 숫자로 표현된다. 1992년 캐나다에서 처음 개발되었으며, 세계 보건 기구(WHO)와 세계 기상 기구(WMO)에 의해 표준화되었다. 한국 기상청은 컴퓨터 모델과 관측 자료를 활용하여 자외선 지수를 산출하며, 자외선 지수에 따라 자외선 차단제를 사용하는 등 적절한 보호 조치를 취하는 것이 권장된다.
더 읽어볼만한 페이지
- 일광욕 - 일광욕 의존증
일광욕 의존증은 자외선 노출에 대한 과도한 집착으로, 아편유사제와 유사한 효과를 내며 피부암, 피부 화상 등 건강 문제를 야기할 수 있으며 인지 행동 치료 등의 방법으로 치료한다. - 일광욕 - 일광욕 침대
일광욕 침대는 인공 자외선을 이용해 피부를 태닝하는 장치로, 과거 부와 건강의 상징으로 대중화되었으나 현재는 피부암 등의 위험성으로 규제가 강화되고 있다. - 재난 등급 - 사피어-심프슨 허리케인 등급
사피어-심프슨 허리케인 등급은 허리케인의 최대 풍속에 따라 1등급에서 5등급으로 분류하여 강도를 추정하는 척도로, 3등급 이상은 "강력한 허리케인"으로 분류되며 예상 피해 정도와 관련이 있다. - 재난 등급 - 후지타 등급
후지타 등급은 후지타 테츠야 교수가 제안한 토네이도의 강도 척도로, 풍속과 피해 정도에 따라 F0부터 F5까지 6단계로 분류되며, 개선된 EF 등급이 개발되어 여러 나라에서 사용된다. - 자외선 - 일광화상
일광화상은 태양의 자외선에 과도하게 노출되어 발생하는 1~2도 화상으로, UVB는 염증 반응을, UVA는 피부 노화를 유발하며, 통증, 발적, 물집 등의 증상을 보이고, 예방을 위해서는 자외선 차단제 사용이 중요하며, 만성적인 노출은 피부암 위험을 증가시킨다. - 자외선 - 극자외선
극자외선은 124nm 이하 파장의 전자기파로, 다가 양이온의 전자 방출이나 싱크로트론의 자유 전자에 의해 생성되며, 광전효과를 통해 물질을 가열 및 손상시키고 태양 활동에 따라 지구 대기와 기후에 영향을 주며 반도체 소자 손상의 원인이 되는 전리 방사선이다.
| 자외선 지수 | |
|---|---|
| 개요 | |
| 이름 | 자외선 지수 |
| 정의 | 햇빛 속 자외선(UV)의 강도를 나타내는 지표 |
| 목적 | 자외선 노출에 대한 위험을 알리고 적절한 보호 조치를 장려 |
| 측정 대상 | 피부에 홍반을 일으키는 자외선 복사량 |
| 척도 및 위험도 | |
| 0-2 (낮음) | 추가적인 보호는 필요하지 않음. 밝은 날에는 선글라스를 착용. |
| 3-5 (보통) | 자외선 차단제를 바르고, 보호복을 착용하며, 정오 시간 동안 햇볕을 피할 것. |
| 6-7 (높음) | 자외선 차단제를 바르고, 보호복을 착용하며, 정오 시간 동안 햇볕을 피할 것. |
| 8-10 (매우 높음) | 자외선 차단제를 바르고, 보호복을 착용하며, 정오 시간 동안 햇볕을 피할 것. |
| 11 이상 (극도로 높음) | 자외선 차단제를 바르고, 보호복을 착용하며, 정오 시간 동안 햇볕을 피할 것. |
| 참고 | 지수가 높을수록 피부와 눈에 손상을 줄 수 있으며, 노출 시간이 짧아질수록 위험이 커짐. |
| 역사 및 사용 | |
| 개발 | 1992년 캐나다 환경부에서 처음 개발 |
| 국제적인 사용 | 세계 보건 기구(WHO)와 국제 연합 환경 계획(UNEP)에서 채택하여 전 세계적으로 사용 권장 |
| 목적 | 공중 보건 교육 도구로 사용되어 자외선 노출의 위험성을 알리고 적절한 예방 조치를 장려 |
| 인식 및 활용 | 자외선 지수에 대한 인식과 이해도는 국가 및 지역에 따라 크게 다름. 자외선 지수에 대한 인식이 높을수록 사람들이 햇볕 아래에서 보호 조치를 취할 가능성이 높아짐. |
| 건강에 미치는 영향 | |
| 긍정적 영향 | 비타민 D 생성 촉진 (적절한 햇빛 노출 필요) |
| 부정적 영향 | 피부암 위험 증가 피부 노화 촉진 백내장 위험 증가 면역 체계 억제 |
| 측정 및 예측 | |
| 측정 방법 | 지상 관측소의 분광계를 사용하여 측정 |
| 예측 방법 | 기상 조건, 오존층 두께, 고도, 시간 및 지리적 위치를 고려하여 예측 기상청 등에서 매일 자외선 지수 예보를 제공 |
| 추가 정보 | |
| 주의사항 | 구름이 낀 날에도 자외선은 통과하므로 주의 필요 모래, 물, 눈 등에 의해 자외선이 반사되어 노출 위험 증가 |
| 참고자료 | 환경부 자외선 지수 정보 기상청 자외선 지수 예보 |
2. 정의 및 계산 방법
자외선 지수(UV index)는 태양 자외선이 인체, 특히 피부에 미치는 영향을 나타내는 지표이다. 자외선 지수는 일광 화상과 관련하여 자외선 복사의 강도를 측정하는 선형 척도이다. 예를 들어 자외선 지수 12는 자외선 지수 6보다 두 배 더 강하다.
자외선 지수는 일출과 일몰 사이의 중간 지점인 태양 정오에, 하루 중 태양이 가장 높은 지점에서의 자외선 강도를 나타낸다. 예측은 태양-지구 거리, 태양 천정각, 총 오존량, 대류권 에어로졸 광학 깊이, 고도, 눈/얼음 반사율 및 구름 투과율의 영향을 고려하는 컴퓨터 모델에 의해 이루어진다.[8]
지수 0은 자외선 복사가 없는 밤에 해당하며, 지수 10은 원래 맑은 하늘의 열대 지역의 한여름 정오 태양광에 해당한다. 현재는 오존층 파괴 등으로 인해 10 이상의 값이 나타나기도 한다.[8]
최근 자외선을 과도하게 쬐면 피부암이나 백내장 등에 걸리기 쉽다는 것이 밝혀졌다. 세계 보건 기구(WHO)는 UV 지수를 활용한 자외선 대책을 권장하고 있다.[32] 일본 환경성의 "자외선 환경 보건 매뉴얼"과 기상청은 UV 지수를 사용한 "자외선 정보"를 제공하여 자외선 대책을 지원한다.[32]
2. 1. 기술적 정의

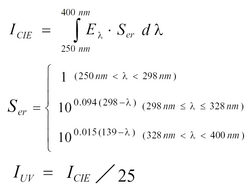
자외선 지수는 지구 표면의 특정 지점에서 일광 화상을 유발하는 자외선 복사 강도와 선형적으로 관련된 숫자이다. 이는 복사 조도(와트(W)/제곱미터(m2)로 측정)와 단순히 관련될 수 없는데, 가장 우려되는 자외선이 295~325 nm의 파장 스펙트럼을 차지하고 있으며, 짧은 파장은 지구 표면에 도달할 때 이미 상당 부분 흡수되었기 때문이다. 그러나 일광 화상으로 인한 피부 손상은 파장과 관련이 있으며, 짧은 파장이 훨씬 더 손상적이다. 따라서 자외선 전력 스펙트럼(파장 1나노미터당 제곱미터당 와트로 표현)은 가중 곡선인 국제 조명 위원회(CIE) 표준 맥킨레이-디피 홍반 작용 스펙트럼으로 곱해진다.[9][10] 스펙트럼에 대한 몇 가지 이전 공식이 있어 최대 2%의 차이가 발생한다.[11] 그 결과는 전체 스펙트럼에 걸쳐 적분된다. 이것은 '''디피 가중 자외선 복사 조도'''(DUV) 또는 홍반 선량률이라고 하는 가중 수치를 제공한다. 정규화 가중치는 250nm에서 298nm 사이의 파장에 대해 1이므로, 주어진 DUV 복사 조도의 소스는 동일한 강도로 해당 파장을 방출하는 방사선원만큼 일광 화상을 유발하지만, 스펙트럼 정의의 부정확성과 피부 유형에 따른 다양한 반응으로 인해 이 관계가 실제로 유지되지 않을 수 있다.[12] 지수가 설계되었을 때 전형적인 한여름 정오의 햇빛은 약 250 mW/m2이었다. 따라서 편의상 DUV는 0에서 11+까지의 지수를 생성하기 위해 25 mW/m2로 나뉜다. 오존층 감소로 인해 현재 더 높은 값이 나타나고 있다.
자외선은 파장에 따라 A영역(UV-A; 파장 315~400nm), B영역(UV-B; 파장 280~315nm), C영역(UV-C; 파장 100~280nm)으로 나뉜다. 태양에서 지구에 도달한 자외선은 대기권에 들어오기 전에는 강도를 가지고 있지만, 대기를 진행하는 동안 성층권 오존에 의한 흡수와 공기 분자, 에어로졸에 의한 산란 등을 받아 서서히 감쇠한다. UV-B가 짧은 파장일수록 크게 감쇠하는 것은 오존에 의한 흡수 때문이며, 더 짧은 파장의 UV-C는 산소와 오존에 완전히 흡수되어 지상에서는 전혀 관측되지 않는다. 이처럼 자외선은 파장에 따라 강도가 크게 다르기 때문에 자외선의 강도를 알기 쉽게 표현하기 위해서는 고안이 필요하다.[33]
자외선이 인체에 미치는 영향은 파장에 따라 다르다.[33] 그래서 인체에 미치는 영향을 보여주는 관점에서 자외선의 강도를 알기 쉽게 나타내는 지표가 제안되었다. 파장별 인체에 대한 상대적 영향도로는 국제 조명 위원회(CIE)에 의해 정의된 CIE 작용 스펙트럼이 있다.[33] 이 상대적 영향도를 지상에서 관측되는 자외선 강도에 파장별로 곱하면, 인체에 미치는 영향의 크기라는 관점에서 본 파장별 강도를 구할 수 있다.[33] 인체에 대한 종합적인 영향도는 이 강도를 250~400nm에 걸쳐 파장 적분함으로써 얻어진다(지상에서의 290nm 이하의 자외선은 실질적으로 0으로 간주할 수 있으므로, 실제로는 290~400nm에 걸친 파장 적분으로 충분히 정확하게 구할 수 있다).[33] 여기서 구하는 양을 "홍반 자외선량"(CIE 자외선량)이라고 부른다. 홍반 자외선이란 피부에 붉은 햇볕 화상을 일으키는 자외선을 말한다. 홍반 자외선량을 일상생활에서 사용하기 쉬운 간단한 수치로 만들기 위해 25mW/㎡로 나누어(홍반 자외선량의 단위가 W/㎡일 때는 40을 곱하여) 지표화한 것이 UV 지수이다.[33]
스펙트럼 가중 원리를 설명하기 위해, 한여름 정오 햇빛의 입사 전력 밀도는 295 nm에서 일반적으로 0.6 mW/(nm m2), 305 nm에서 74 mW/(nm m2), 325 nm에서 478 mW/(nm m2)이다. 이 수치에 적용된 홍반 가중 계수는 각각 1.0, 0.22 및 0.003이다. 290 nm에서 400 nm[13]의 전체 스펙트럼 범위에 걸쳐 모든 중간 가중치를 사용하여 이러한 값을 적분하면 264 mW/m2(DUV)의 수치가 생성되며, 이는 다시 25 mW/m2로 나누어 자외선 지수 10.6을 제공한다.[14]
2. 2. 기상청 계산 방법 (한국)
기상청의 자외선 정보 예측 및 분석 정보는 컴퓨터 모델 계산을 기반으로 한다. 모델 계산에서는 맑은 날의 파장별 자외선 강도를 구하기 위해 오존에 의한 흡수, 공기 분자와 에어로졸에 의한 산란, 태양 고도, 표고 등의 요소를 고려하며, 이를 바탕으로 자외선 지수를 산출한다.[33]삿포로, 쓰쿠바, 나하에서 매시간 관측되는 결과를 바탕으로 자외선 지수를 보정한다. 관측에는 브루어 분광 광도계가 사용되며, 290~325nm 파장 범위에서 0.5nm 간격으로 자외선 강도를 측정한다.[33] 관측되지 않는 325~400nm 파장 영역은 모델 계산 결과를 바탕으로 324nm 관측값을 사용하여 추정한다. 이 파장 범위는 오존에 의한 흡수가 거의 없고, 구름이나 에어로졸에 의한 산란의 영향을 파장에 관계없이 거의 균일하게 받기 때문이다. 이러한 추정으로 인한 자외선 지수 오차는 0.1 이내로, 실용상 문제는 없다.[33]
자외선 정보 분포도에서는 자외선 지수를 반올림하여 정수로 표시한다. 일본에서는 자외선 지수가 12나 13과 같은 값이 관측되는 경우가 많아, 실정에 맞춰 13+까지 표시하고 있다.[33]
3. 역사
오존층 파괴에 대한 우려가 커지면서 캐나다 환경부의 과학자 제임스 B. 커, C. 토마스 맥엘로이, 데이비드 I. 와들은 1992년 온타리오주 토론토에서 현대적인 자외선 지수를 개발했다. 캐나다 환경부는 1992년 5월 27일에 이를 일기 예보의 일부로 시작하여, 캐나다를 다음 날의 자외선 수준에 대한 공식적인 예측을 발표한 세계 최초의 국가로 만들었다.[15][16] 이후 많은 다른 국가들이 자체적인 자외선 지수를 따랐다. 처음에는 자외선 지수를 계산하고 보고하는 방법이 국가별로 크게 달랐다. 1994년에 세계 보건 기구와 세계 기상 기구에 의해 처음 표준화된 글로벌 자외선 지수[17]는 일관성이 없는 지역 버전을 점차 대체하여, 통일된 계산 방법(캐나다 정의)뿐만 아니라 시각 미디어를 위한 표준 색상 및 그래픽도 명시했다.[18]
2005년, 호주[22]와 미국[23]은 자외선 경보를 시작했다. 두 국가는 경보 발령 전 자외선 강도에 대한 서로 다른 기준을 가지고 있지만, 그들의 공통적인 목표는 자외선이 강한 날에 과도한 햇빛 노출의 위험에 대한 인식을 높이는 것이다.
2022년에는 세계 보건 기구(WHO), 세계 기상 기구(WMO), 유엔 환경 계획 (UNEP) 및 국제 노동 기구 (ILO)에서 자외선(UV) 방사선 수준에 대한 지역화된 정보를 제공하는 모바일 폰 애플리케이션을 출시했다.[25]
4. 활용 및 대응 요령
자외선 지수는 일광 화상을 유발하는 자외선(UV) 복사 강도를 나타내는 선형 척도로, 일상생활에서 자외선 위험을 인지하고 적절한 예방 조치를 취하는 데 활용된다. 자외선 지수 12는 자외선 지수 6보다 두 배 강하다.[5]
자외선 지수는 하루 중 태양이 가장 높은 지점인 태양 정오의 자외선 강도를 나타내며, 일광 절약 시간제를 시행하지 않는 지역에서는 보통 오전 11시 30분에서 오후 12시 30분 사이이다. 이 지수는 태양-지구 거리, 태양 천정각, 오존량, 에어로졸, 고도, 눈/얼음 반사율, 구름 투과율 등 여러 요인을 고려한 컴퓨터 모델로 예측된다.[8]
세계 보건 기구(WHO)는 오존층 파괴로 인해 지표면에 도달하는 자외선이 증가함에 따라 자외선 지수를 활용한 대책을 권장한다.[32] 일본 환경성은 "자외선 환경 보건 매뉴얼"을 통해 자외선 지수에 따른 구체적인 대책을 제시하고,[32] 일본 기상청은 매일 자외선 정보를 제공한다.[32]
최근 연구에 따르면 자외선 과다 노출은 피부암, 백내장 등을 유발할 수 있어 자외선 지수의 중요성이 커지고 있다.
4. 1. 자외선 지수별 권장 사항 (한국 환경부 기준)
| 자외선 지수 | 위험도 | 권장 사항 |
|---|---|---|
| 0–2 | 낮음 | 햇볕에 민감한 피부를 가진 사람은 자외선 차단제를 바르는 것이 좋다. 밝은 날에는 선글라스를 착용하고, 모래나 물, 눈과 같이 밝은 표면은 자외선 노출을 증가시키므로 주의한다.[18][26][27] |
| 3–5 | 보통 | 햇볕에 노출 시 모자, 선글라스 착용, SPF 50+ 자외선 차단제 사용 등을 권장한다. 정오 즈음 햇빛이 가장 강할 때는 그늘에 머무르는 것이 좋다. 모래, 물, 눈과 같은 밝은 표면은 자외선 노출을 증가시키므로 주의한다.[18][26] |
| 6–7 | 높음 | 오전 10시부터 오후 4시 사이에는 햇볕 노출을 줄이고, 그늘에 머무르는 것이 좋다. 햇빛 차단 의류, 챙이 넓은 모자, 자외선 차단 선글라스를 착용하고, SPF 50+ 자외선 차단제를 1.5시간마다 바르는 것이 좋다. 모래, 물, 눈과 같은 밝은 표면은 자외선 노출을 증가시키므로 주의한다.[18][26] |
| 8–10 | 매우 높음 | 오전 10시부터 오후 4시 사이에는 햇볕 노출을 최소화한다. 햇볕에 노출 시 피부 손상 위험이 크므로, 최대한 햇볕을 피하고 햇빛 차단 의류, 챙이 넓은 모자, 자외선 차단 선글라스 등 보호 장비를 착용해야 한다. SPF 50+ 자외선 차단제를 1.5시간마다 바르는 것이 좋다. 모래, 물, 눈과 같은 밝은 표면은 자외선 노출을 증가시키므로 주의한다.[18][26] |
| 11+ | 위험 | 오전 10시부터 오후 4시 사이에는 햇볕 노출을 피한다. 햇볕에 노출 시 매우 위험하므로, 가급적 실내에 머무르고 외출을 자제해야 한다. 햇빛 차단 의류, 챙이 넓은 모자, 자외선 차단 선글라스를 착용하고, SPF 50+ 자외선 차단제를 1.5시간마다 바르는 것이 좋다. 모래, 물, 눈과 같은 밝은 표면은 자외선 노출을 증가시키므로 주의한다.[18][26] |
4. 2. 추가 고려 사항
피부색이 어두운 사람(피츠패트릭 척도 IV+형)은 햇빛에 더 강하게 견딜 수 있다.[27] 하지만 어린이, 노인, 특히 피부가 흰 성인, 그리고 의학적 이유[27] 또는 이전 날의 자외선 노출로 인해 햇빛 민감성이 더 큰 사람들에게는 추가적인 예방 조치가 필요하다.모래, 물, 눈과 같은 밝은 표면은[27] 자외선 반사율을 높여 자외선 노출을 증가시키므로 주의해야 한다.[18]
5. 기록
참조
[1]
웹사이트
UV Index Overview
https://www.epa.gov/[...]
U.S. Environmental Protection Agency
2022
[2]
논문
Ultraviolet immunosuppression: Mechanisms and consequences
2006-01
[3]
논문
Awareness, Understanding, Use, and Impact of the UV Index: A Systematic Review of Over Two Decades of International Research
2022
[4]
논문
Fast simulation tool for ultraviolet radiation at the earth's surface
https://fastrt.nilu.[...]
2005-04
[5]
서적
Photoimmunology
1983
[6]
뉴스
What do UV Index numbers mean?
https://www.khou.com[...]
2021-07-26
[7]
웹사이트
UV Index: Is it Validated?
https://www.cpc.ncep[...]
NOAA/National Weather Service
2006
[8]
논문
The UV index: Definition, distribution and factors affecting it
2010-07
[9]
논문
A reference action spectrum for ultraviolet induced erythema in human skin
1987
[10]
웹사이트
UV Spectral Irradiances & Erythemal Action Spectrum
https://www.cpc.ncep[...]
NOAA
2006
[11]
논문
Know Your Standard: Clarifying the CIE Erythema Action Spectrum
2011-03
[12]
논문
UV "Indices"-What Do They Indicate?
2016-10-24
[13]
웹사이트
How UV Index is Calculated
http://www.epa.gov/s[...]
U.S. Environmental Protection Agency
2015-08-21
[14]
웹사이트
How Is the UV Index Calculated?
http://serc.si.edu/l[...]
Smithsonian Institution
[15]
논문
The Canadian Ozone Watch and UV-B advisory programs
https://ntrs.nasa.go[...]
NASA/Goddard Space Flight Center
1994
[16]
간행물
Environment Canada's UV Index Celebrates Ten Years: Now Bringing Sun Safety Messages to 26 Countries
http://ec.gc.ca/medi[...]
Environment Canada
2002-05-27
[17]
보고서
Report of the WMO Meeting of Experts on UV-B Measurements, Data Quality and Standardization of UV Indices, 1994
World Meteorological Organization
1995
[18]
서적
Global Solar UV Index: A Practical Guide
https://apps.who.int[...]
World Health Organization
2002
[19]
뉴스
Blazing World Record: Strongest UV Rays Measured in South America
https://www.livescie[...]
2014-07-08
[20]
논문
Record solar UV irradiance in the tropical Andes
2014-07-08
[21]
논문
Comment on "Record solar UV irradiance in the tropical Andes, by Cabrol et al."
2015-04-08
[22]
웹사이트
What is UV?
https://www.sunsmart[...]
Cancer Council Victoria
[23]
웹사이트
UV Alert
http://www.epa.gov/s[...]
U.S. Environmental Protection Agency
2015-08-21
[24]
웹사이트
Ozone awards
http://www.wmo.int/p[...]
World Meteorological Organization
2007-10
[25]
웹사이트
SunSmart Global UV App helps protect you from the dangers of the sun and promotes public health
https://www.who.int/[...]
World Health Organization
2022
[26]
웹사이트
UV Index Scale
https://www.epa.gov/[...]
U.S. Environmental Protection Agency
2019-06-28
[27]
웹사이트
Ultraviolet Radiation
http://ohioline.osu.[...]
The Ohio State University
2008
[28]
뉴스
Your Time in the Sun, Measured to the Minute
https://www.nytimes.[...]
2014-07-16
[29]
논문
The Minimal Erythema Dose of Broadband Ultraviolet B in Taiwanese
2007-11
[30]
웹사이트
UVインデックス - 環境データベース|環境展望台:国立環境研究所 環境情報メディア
https://tenbou.nies.[...]
2020-12-14
[31]
간행물
長野市及び松本市における太陽紫外線の検討
https://agriknowledg[...]
[32]
웹사이트
UVインデックスとは
https://www.data.jma[...]
気象庁
[33]
웹사이트
UVインデックスを求めるには
https://www.data.jma[...]
気象庁
[34]
웹사이트
Blazing World Record: Strongest UV Rays Measured in South America
http://www.livescien[...]
LiveScience.com
2015-05-24
[35]
웹인용
UV Index Overview
https://www.epa.gov/[...]
U.S. Environmental Protection Agency
2022
[36]
저널
Ultraviolet immunosuppression: Mechanisms and consequences
https://archive.org/[...]
2006-01
[37]
저널
Awareness, Understanding, Use, and Impact of the UV Index: A Systematic Review of Over Two Decades of International Research
2022
본 사이트는 AI가 위키백과와 뉴스 기사,정부 간행물,학술 논문등을 바탕으로 정보를 가공하여 제공하는 백과사전형 서비스입니다.
모든 문서는 AI에 의해 자동 생성되며, CC BY-SA 4.0 라이선스에 따라 이용할 수 있습니다.
하지만, 위키백과나 뉴스 기사 자체에 오류, 부정확한 정보, 또는 가짜 뉴스가 포함될 수 있으며, AI는 이러한 내용을 완벽하게 걸러내지 못할 수 있습니다.
따라서 제공되는 정보에 일부 오류나 편향이 있을 수 있으므로, 중요한 정보는 반드시 다른 출처를 통해 교차 검증하시기 바랍니다.
문의하기 : help@durumis.com